网站首页
学院概况
师资队伍
教育教学
科学研究
实践教学
党建工作
学生管理
招生就业
智学电路学习实训平台
电信工程学院特邀客座教授举办学术讲座
电信工程学院特邀客座教授董海鹰举...
电力系统及其自动化关键技术创新团队
电气与智能控制工程学院赴“长江三...
电信工程系喜迎专升本新生报到
电信工程系开展高校学生资助诚信教育主题教育活动
“促教学、增交流”我院电信工程系开展线上教学观摩课活动
喜报
你的大学,我们陪你启航
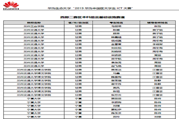
兰州交通大学博文学院电信工程系学生荣获华为生态大学“2019...