华为作为全球领先的ICT解决方案及服务供应商,华为生态大学承载着打造ICT人才生态的重要职责,为促进ICT人才生态健康、良性发展,持续为产业链输送优质ICT人才,华为联合华为授权培训合作伙伴举办“2019华为中国区大学生ICT大赛”。

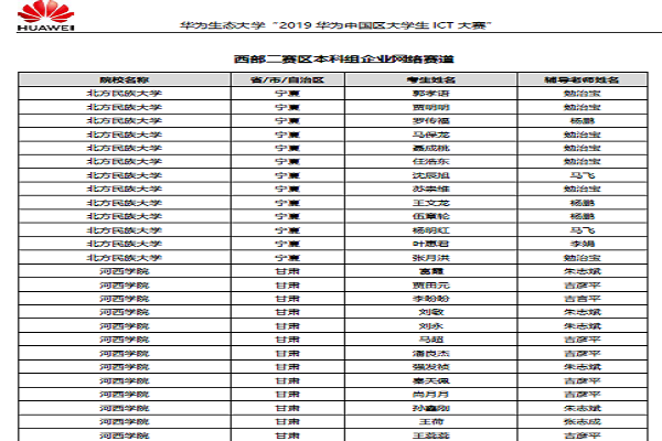
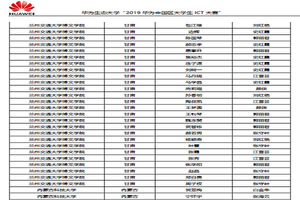
本次大赛自2019年3月开始选拔并进行报名,电信工程系共计选拔65名学生参加。大赛分为实践赛和创新赛,中国西北区决赛于2019年4月27日在兰州交通大学举行,大赛历时3小时之久,最终,我系包江维等34名学生取得西北二赛区前100名的好成绩。



竞赛中,我系学生的专业知识能力得到了充分的肯定,同时也为他们在今后的学习中起到了指导作用。通过此次大赛,充分体现了我院学生具有良好的创新意识和创新精神,夯实了他们的实践动手能力,为创新型人才的培养起到了引领作用。祝愿我院学生紧跟时代的步伐,将理论知识转化为实践应用,准确把握新一轮实践创新的趋势和机遇。
电信工程系 2019年5月14日