1683168诸侯快讯官网
设为首页
|
加入收藏
00
:
00
首 页
关于我们
简介
组织机构
学生管理
教育管理中心
国防教育中心
学生资助管理中心
心理健康教育中心
档案管理中心
队伍建设
相关培训
辅导员工作室
班主任工作
通知公告
下载中心
联系我们
新闻动态
NEWS DYNAMICS
新闻动态
新闻动态
文件下载
File download
新闻动态
当前位置:
首 页
>
新闻动态
>
正文
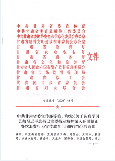
中共甘肃省委宣传部等关于印发《关于认真学习贯彻习近平总书记重要指示精神深入开展制止餐饮浪费行为宣传教育工作的方案》的通知