1683168诸侯快讯官网
设为首页
|
加入收藏
00
:
00
首 页
关于我们
简介
组织机构
学生管理
教育管理中心
国防教育中心
学生资助管理中心
心理健康教育中心
档案管理中心
队伍建设
相关培训
辅导员工作室
班主任工作
通知公告
下载中心
联系我们
通知公告
NOTICE ANNOUNCEMENT
通知公告
通知公告
文件下载
File download
通知公告
当前位置:
首 页
>
通知公告
>
正文
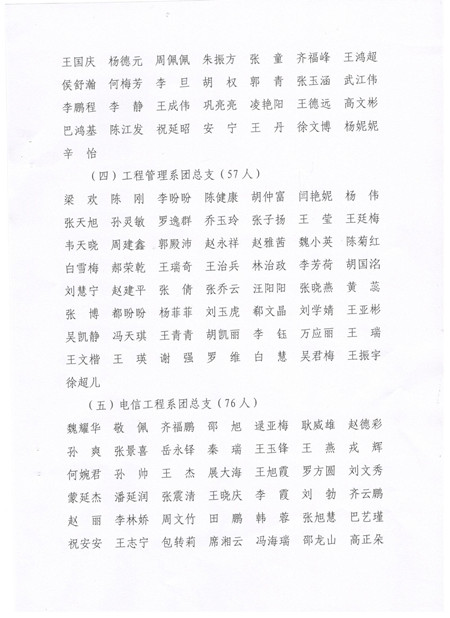
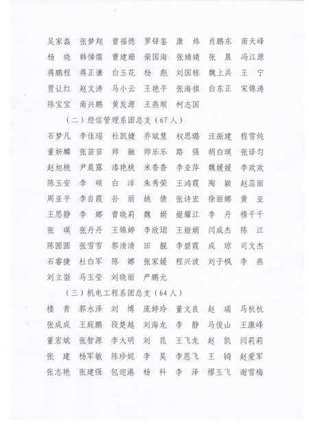
兰州交通大学博文学院关于2019年“优秀共青团院、优秀共青团干、优秀先进团支部”评选表彰结果的通知